您好!客人 [请登录] [免费注册]  使用帮助 |  设为首页 |  收藏本站 |   客服电话:010-83734093
  • 上海金锦乐实业有限公司
  • API
×
  • 公告 【1】《中国原料药专刊》电子网刊 [2025-11-11]
  • 北京
  • 上海
  • 天津
  • 重庆
  • 河北
  • 山西
  • 辽宁
  • 吉林
  • 黑龙江
  • 江苏
  • 浙江
  • 安徽
  • 福建
  • 江西
  • 山东
  • 河南
  • 湖北
  • 湖南
  • 广东
  • 广西
  • 内蒙古
  • 海南
  • 四川
  • 贵州
  • 云南
  • 西藏
  • 陕西
  • 甘肃
  • 宁夏
  • 青海
  • 新疆
  • 首页
  • 供应
  • 原料药
  • 小类已删除
  • 醋酸泼尼松龙
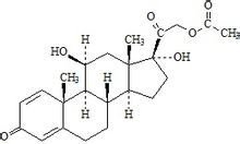
    醋酸泼尼松龙
    包装规格: kg/tin
    招商区域: 全国 全国各地区
    招商价格 : 
    代理留言:  
    点击次数:  3033
    更新时间:  2017-08-11 08:33:35
    给厂家留言,让厂家主动联系你
    包装规格:kg/tin 零售价格: 招商区域:全国全国各地区
    产品特点:抗炎 抗过敏
    产品说明:

    简介

    【英文名称】 Prednisolone Acetate

    【药品分类】皮肤科用药-糖皮质激素

    折叠编辑本段成分

    主要成分:醋酸泼尼松龙。

    化学名为:11β,17α,21-三羟基孕甾-1,4-二烯-3,20-二酮-21-醋酸酯。 抗休克作用:糖皮质激素能对抗细菌醋酸泼尼松龙醋酸泼尼松龙内毒素对机体的刺激反应,减轻 细胞损伤,发挥保护机体的作用

    药代动力学:极易自消化道吸收,其本身以活性形式存在,无需经肝脏转化即发挥其 生物效应。口服后约1-2小时血药浓度达峰值,T1/2为2-3小时。在血中本品大 部分与血浆蛋白结合,游离和结合型代谢物自尿中排出,部分以原形排出,小部 分可经乳汁排出。


    •  普通会员
    • 山东泰华生物科技股份有限公司
    • 经营模式: 生产厂家
    • 联系人: 李华 女士
    • 电 话: 18315839706
    • 传 真:
    • 手 机: 18315839706
    • E-mail: sales02@taihuapharm.com
    • QQ交流
    公司产品列表
    其它相关产品
    暂无信息

    留言

    暂无信息

    代理留言

    友情提示:您还在为找不到产品而苦恼么?您还在一次次的展会上疲于奔命么?在下方发布您的代理留言,让【众多厂家】主动和您联系!
    产品名称:
    希望代理省份:
    (可多选)



    希望代理区域:(市县级)
    留言内容 *




    填写联系方式
    代理身份:
    联 系 人 *
    手机 *
    电子邮箱:
    答案 *
     
    公司简介  |  联系方式  |  帮助信息  |  友情链接
    中华人民共和国电信与信息服务业务经营许可证: 京icp备07007278号
    中国原料药采购网版权所有 © 2006-2013 
    中国原料药采购网只提供交易平台,对具体交易过程不参与也不承担任何责任。望供求双方谨慎交易。